• Work
  • Architectural Portfolio
  • Design
  • News
  • About
  • CONTACT
Menu

Loulou Mattinson

BIM DESIGNER - LONDON
  • Work
  • Architectural Portfolio
  • Design
  • News
  • About
  • CONTACT

JayJay Revlon World Tour

January 30, 2024

World Tour Poster for JayJay Revlon

Source: https://www.instagram.com/reel/C2u84pbI5ya...

City-level Social Media Data Analysis

September 8, 2023

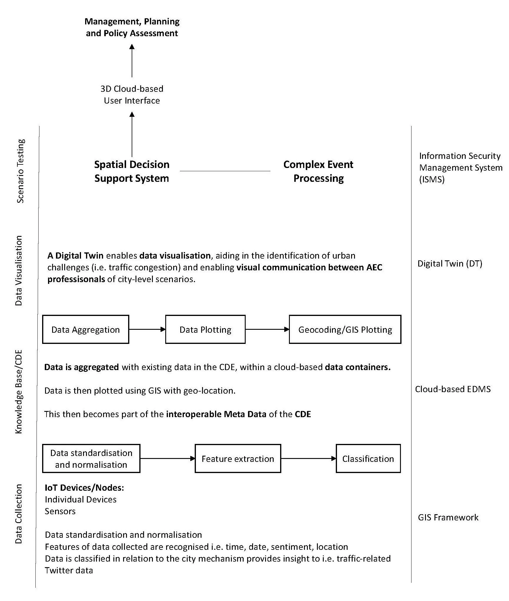
City-level Social Media Data Analysis for Spatial Observations, Integrated Diagnosis and Policy Assessment: A Case Study of Traffic Data in Cardiff, Wales

Source: https://www.linkedin.com/in/loulou-mattins...

Kochi GIS map: Cardiff university takes crowdsourcing route

April 9, 2021

Cardiff University article:

https://www.cardiff.ac.uk/news/view/2515398-liveable-urbanism-design-studio-to-use-crowdsourcing-to-create-a-gis-map-of-kochi,-india

Times of India Article:

https://timesofindia.indiatimes.com/city/kochi/kochi-gis-map-cardiff-univ-takes-crowdsourcing-route/articleshow/81975758.cms

This post describes how the work of the our work was identified by the local news and what the potential impact of this could be for the city.

Source: https://www.instagram.com/reel/C2u84pbI5ya...

Latest Posts

Featured
Jan 30, 2024
JayJay Revlon World Tour
Jan 30, 2024
Jan 30, 2024
Sep 8, 2023
City-level Social Media Data Analysis
Sep 8, 2023
Sep 8, 2023
Apr 9, 2021
Kochi GIS map: Cardiff university takes crowdsourcing route
Apr 9, 2021
Apr 9, 2021

Powered by Squarespace